Soal Sejarah Kelas 12 Ipa Semester 2 Beserta Jawabannya

Kumpulan Soal Pilihan Ganda Sejarah Kelas 12 Semester 1 Beserta Jawaban Lengkap Materi Belajar

Soal Sejarah Kelas Xii Ips Beserta Kunci Jawaban Guru Galeri

Soal Pilihan Ganda Sejarah Kelas 12 Semester 1 Beserta Jawaban

Contoh Soal Pg Dan Jawaban Sejarah Kelas Xii Semester 2 Cute766
![]()
Kunci Jawaban Lks Sejarah Indonesia Kelas 12 Semester 1 Kurikulum 2013 Seputar Sejarah

Soal Dan Jawaban Sejarah Kelas 12 Dunia Sekolah
![]()
Soal Sejarah Kelas Xii Ips Beserta Kunci Jawaban Guru Galeri

Soal Sejarah Indonesia Kelas 12 Semester 1 2 Dan Jawaban
Soal Sejarah Indonesia Kelas Xi
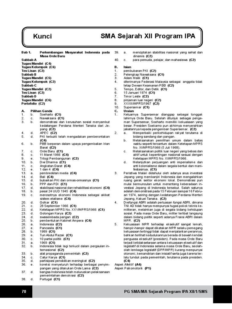
Kunci Jawaban Lks Ekcellent Sejarah Kelas Xii Ipa
Posting Komentar untuk "Soal Sejarah Kelas 12 Ipa Semester 2 Beserta Jawabannya"